Ngày 3/4 Báo Đời sống pháp luật có đăng tải bài viết: “CSGT ĐỀ NGHỊ: 804 chủ xe có biển số sau khẩn trương nộp phạt nguội theo Nghị Định 168” với nội dung như sau: Trong danh sách do lực lượng chức năng công bố, hầu hết các trường hợp vi phạm đều liên quan đến hành vi điều khiển phương tiện vượt quá tốc độ cho phép.
Theo thông tin từ Phòng Cảnh sát giao thông Công an tỉnh An Giang, trong khoảng thời gian từ ngày 1/3 đến 14/3/2026, lực lượng chức năng đã triển khai hệ thống camera giám sát cùng các thiết bị nghiệp vụ để phát hiện nhiều trường hợp điều khiển phương tiện vi phạm tốc độ. Toàn bộ hành vi đều được ghi nhận bằng hình ảnh, trích xuất dữ liệu và đưa vào danh sách xử lý theo quy định.
Danh sách phương tiện vi phạm bao gồm:


Trong khi đó, tại Bắc Ninh, chỉ trong tuần từ 23 – 29/3, Phòng Cảnh sát giao thông Công an tỉnh cho biết đã ghi nhận 791 phương tiện bị “phạt nguội” với cùng một lỗi là chạy quá tốc độ cho phép. Gần 800 xe vi phạm cùng một lỗi trong thời gian ngắn cho thấy tình trạng vượt tốc độ vẫn diễn ra phổ biến, bất chấp việc giám sát bằng camera ngày càng được tăng cường.
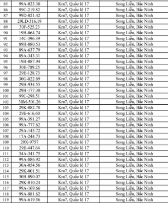
Danh sách một số phương tiện vi phạm tốc độ từ ngày 23 – 29/3 tại Bắc Ninh như sau:




Cơ quan chức năng yêu cầu các chủ phương tiện có tên trong danh sách vi phạm khẩn trương liên hệ để nộp phạt theo quy định. Việc xử lý “phạt nguội” thông qua hệ thống camera giám sát đang cho thấy hiệu quả rõ rệt trong công tác đảm bảo trật tự an toàn giao thông, khi mọi hành vi vi phạm đều được ghi nhận khách quan, minh bạch. Tuy nhiên, điều này cũng đặt ra yêu cầu người tham gia giao thông phải nâng cao ý thức chấp hành, đặc biệt với các quy định về tốc độ.
Theo Nghị định 168/2024/NĐ-CP, hành vi điều khiển ô tô vượt quá tốc độ cho phép được phân loại theo từng ngưỡng cụ thể, đi kèm mức xử phạt tiền và trừ điểm giấy phép lái xe.
Cụ thể:
+ Vượt từ 5 km/h đến dưới 10 km/h: Phạt 800.000 – 1.000.000 đồng, không áp dụng hình thức bổ sung.
+ Vượt từ 10 km/h đến 20 km/h: Phạt 4.000.000 – 6.000.000 đồng, trừ 2 điểm GPLX.
Vượt trên 20 km/h đến 35 km/h: Phạt 6.000.000 – 8.000.000 đồng, trừ 4 điểm GPLX.
+ Vượt trên 35 km/h: Phạt 12.000.000 – 14.000.000 đồng, trừ 6 điểm GPLX.
Trong bối cảnh hệ thống camera giao thông ngày càng được mở rộng và tích hợp công nghệ hiện đại, các hành vi vi phạm đặc biệt là lỗi tốc độ gần như không còn “khoảng trống” để bỏ lọt.
Việc tuân thủ quy định không chỉ giúp tránh bị xử phạt, mà còn góp phần đảm bảo an toàn cho chính người điều khiển và cộng đồng.
Báo Phụ nữ mới đưa tin với tiêu đề: “102 chủ xe máy, ô tô có biển số sau nhanh chóng nộp phạt nguội theo Nghị định 168”, nội dung được đăng tải như sau:
Lực lượng chức năng tại một số địa phương phía Nam vừa công bố danh sách phương tiện vi phạm giao thông qua hình thức phạt nguội, trong đó lỗi phổ biến là chạy quá tốc độ quy định.
Theo báo cáo của Phòng Cảnh sát giao thông Công an tỉnh An Giang, từ ngày 1/3 đến 14/3, thông qua hệ thống camera giám sát và các thiết bị nghiệp vụ, lực lượng chức năng đã phát hiện nhiều trường hợp điều khiển phương tiện vượt quá tốc độ cho phép. Các trường hợp vi phạm đã được ghi nhận và lập danh sách để xử lý theo quy định.

Tương tự, Phòng Cảnh sát giao thông Công an tỉnh Lâm Đồng cũng công bố danh sách phương tiện vi phạm tốc độ được ghi nhận trong ngày 29/3/2026. Việc công khai thông tin nhằm nâng cao ý thức chấp hành pháp luật của người tham gia giao thông, đồng thời tạo tính răn đe đối với các hành vi vi phạm.

Theo quy định tại Nghị định 168/2024/NĐ-CP, mức xử phạt đối với hành vi điều khiển ô tô chạy quá tốc độ được chia theo các ngưỡng cụ thể:
– Vượt quá tốc độ từ 5 km/h đến dưới 10 km/h: phạt tiền từ 800.000 đồng đến 1.000.000 đồng.
– Vượt quá tốc độ từ 10 km/h đến 20 km/h: phạt tiền từ 4.000.000 đồng đến 6.000.000 đồng, đồng thời bị trừ 2 điểm giấy phép lái xe.
– Vượt quá tốc độ trên 20 km/h đến 35 km/h: phạt tiền từ 6.000.000 đồng đến 8.000.000 đồng, bị trừ 4 điểm giấy phép lái xe.
– Vượt quá tốc độ trên 35 km/h: phạt tiền từ 12.000.000 đồng đến 14.000.000 đồng, bị trừ 6 điểm giấy phép lái xe.
Cơ quan chức năng khuyến cáo người điều khiển phương tiện cần tuân thủ quy định về tốc độ, chú ý quan sát biển báo và điều kiện giao thông để đảm bảo an toàn, tránh bị xử phạt và góp phần giảm thiểu tai nạn giao thông.
Để tra cứu phương tiện vi phạm, người dân có thể thực hiện theo các cách dưới đây:
– Tra cứu trên website chính thức của Cục Cảnh sát Giao thông:
Bước 1: Truy cập: www.csgt.vn/tra-cuu-phuong-tien-vi-pham.html
Bước 2: Nhập biển số xe, chọn loại phương tiện, nhập mã captcha > bấm Tra cứu.
Bước 3: Nếu có vi phạm sẽ hiện thời gian, địa điểm, lỗi, đơn vị xử lý.
– Tải ứng dụng VNTraffic – ứng dụng giao thông do Bộ Công an quản lý để kiểm tra thông tin vi phạm hoặc gửi phản ánh trực tiếp đến cơ quan chức năng.
Bước 1: Tải ứng dụng trên Google Play / App Store.
Bước 2: Đăng nhập bằng CCCD gắn chip hoặc số điện thoại.
Bước 3: Vào mục “Tra cứu vi phạm”, nhập biển số xe để xem vi phạm.
Khẩu Trang Chống Nắng UPF50+ Chống UV UPPER YOU Chất Lụa Băng Mịn Mát Thoáng Khí cho mùa hè này!