819 chủ xe có biển số sau nhanh chóng nộp phạt nguội theo Nghị định 168: Vi phạm cùng 1 lỗi có mức phạt lên tới 22 triệu đồng

Công an tỉnh Bắc Ninh mới đây đã công bố danh sách các phương tiện vi phạm lỗi chạy quá tốc độ từ ngày 09/3/2026 đến ngày 15/3/2026.
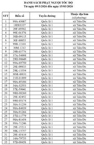
Phòng Cảnh sát giao thông Công an tỉnh Bắc Ninh thông báo, trong tuần từ ngày 09/3/2026 đến ngày 15/3/2026, đã phát hiện 819 trường hợp vi phạm trật tự an toàn giao thông – lỗi chạy quá tốc độ qua hệ thống camera giám sát giao thông và phương tiện thiết bị kỹ thuật nghiệp vụ. Trong đó:
– Quốc lộ: Tổng 471 trường hợp (Quốc lộ 1A: 163; Quốc lộ 17: 143; Quốc lộ 31: 87; Quốc lộ 18: 40; Quốc lộ 37: 38).
– Đường tỉnh: Tổng 397 trường hợp (ĐT 276: 34; ĐT 284: 47; ĐT 286: 41; ĐT 287: 15; ĐT 288: 26; ĐT 293: 75; ĐT 295: 23; ĐT 295B: 4; ĐT 298: 30; ĐT 299: 36; ĐT 398: 66).
– Đường nội thị: Tổng 14 trường hợp.






















Theo Nghị định 168/2024/NĐ-CP, hành vi điều khiển ô tô chạy quá tốc độ quy định từ 5 – dưới 10 km/h sẽ bị phạt từ 800.000 – 1 triệu đồng; vượt quá tốc độ từ 10 – 20 km/h sẽ bị phạt từ 4 – 6 triệu đồng và trừ 2 điểm bằng lái xe; vượt quá tốc độ trên 20 – 35 km/h sẽ bị phạt từ 6 – 8 triệu đồng và trừ 4 điểm bằng lái xe; vượt quá tốc độ trên 35 km/h sẽ bị phạt từ 12 – 14 triệu đồng và trừ 6 điểm bằng lái xe. Trường hợp điều khiển xe chạy quá tốc độ quy định gây tai nạn giao thông sẽ bị phạt tiền 20 – 22 triệu đồng và trừ 10 điểm giấy phép lái xe.
Với xe máy, nếu vượt quá tốc độ từ 5 – dưới 10 km/h bị phạt tiền từ 400.000 – 600.000 đồng; vượt quá tốc độ từ 10 – 20 km/h bị phạt tiền từ 800.000–1 triệu đồng; vượt quá tốc độ trên 20 km/h bị phạt tiền từ 6–8 triệu đồng
Xe ô tô chạy quá tốc độ. Ảnh: Phòng CSGT Công an tỉnh Bắc Ninh
Để tra cứu phương tiện vi phạm, người dân có thể thực hiện theo các cách dưới đây:
– Tra cứu trên website chính thức của Cục Cảnh sát Giao thông:
Bước 1: Truy cập: https://www.csgt.vn/tra-cuu-phuong-tien-vi-pham.html
Bước 2: Nhập biển số xe, chọn loại phương tiện, nhập mã captcha → bấm Tra cứu.
Bước 3: Nếu có vi phạm sẽ hiện thời gian, địa điểm, lỗi, đơn vị xử lý.
– Tải ứng dụng VNeTraffic – ứng dụng giao thông do Bộ Công an quản lý để kiểm tra thông tin vi phạm hoặc gửi phản ánh trực tiếp đến cơ quan chức năng.
Bước 1: Tải ứng dụng trên Google Play / App Store.
Bước 2: Đăng nhập bằng CCCD gắn chip hoặc số điện thoại.
Bước 3: Vào mục “Tra cứu vi phạm”, nhập biển số xe để xem vi phạm.